全国同城空降快餐群_全国51茶楼信息网_同城叫妹子_全国51茶楼信息网

浙轮电力主营APF有源电力滤波装置、电容器系列、电抗器系列、智能复合开关和无功补偿控制器等产品。
ZLDL-电抗器系列
ZLDL-ZXL正弦波滤波电抗器
所属分类:ZLDL-电抗器系列

 应用电路:
异步电机变频传动,变频器输出侧,抑制及吸收开关频率纹波电流所衍生的高次谐波电流,降低长电缆行波反射dv/dt瞬变电压,矫正波形近似为正弦波,大大延长了输出电缆长度,从而降低电机涡流损耗及噪音,保护电机绝缘。


性能特点


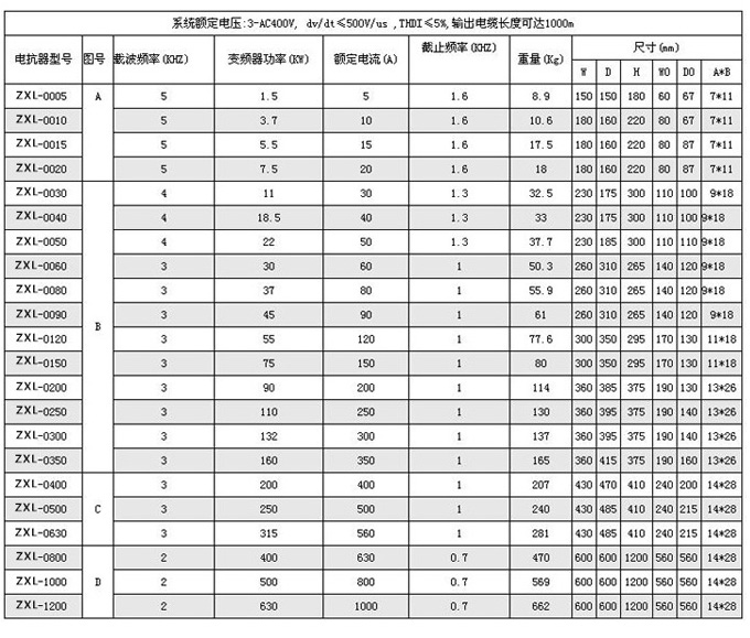
尺寸及技术参数:



正弦波滤波器(UD=8%-12.5%)技术参数:

备注:
产品标示A、B、C为滤波器三相输入端,X、Y、Z为滤波器三相输出端,L、N为220V风机电源接线端。

主站蜘蛛池模板: 黄山市| 元阳县| 江口县| 苍南县| 常熟市| 宁化县| 堆龙德庆县| 定安县| 达孜县| 周宁县| 庐江县| 娄烦县| 天祝| 兖州市| 扶风县| 汶川县| 二连浩特市| 苍山县| 彰化市| 城步| 连云港市| 扎兰屯市| 河东区| 察哈| 乐平市| 江口县| 乌兰浩特市| 务川| 比如县| 永宁县| 随州市| 德阳市| 台东县| 灵丘县| 衡水市| 明溪县| 军事| 长沙市| 深泽县| 苏尼特左旗| 陇川县|